Kumpulan Soal Dan Pembahasan Integral Pdf
Jika Fx adalah fungsi umum yang bersifat Fx fx maka Fx merupakan anti turunan atau integral dari fx. Berikut ini disajikan sejumlah soal dan pembahasan mengenai integral lipat dua yang dipelajari pada materi kalkulus lanjut.

50 Soal Dan Jawaban Integral Pdf Toysoftmore
Sebelum download pastikan melihat preview -nya terlebih dahulu untuk memastikan soal-soal Integral Tak Tentu berikut sesuai dengan yang teman-teman perlukan atau tidak.
Kumpulan soal dan pembahasan integral pdf. Fx 4x d. Tak hanya berguna untuk membantu mengerjakan contoh soal matematika materi aturan sinus aturan cosinus luas segitiga. Ax n dx a n1 a n 1 x n1 C.
Jika cos A C k maka tentukan sin A cos B 1. Itu saja yang bisa kmi sampaikan. Pdf latihan soal dan pembahasan besaran dan satuan ridho.
Download Integral Trigonometri Soal Dan Pembahasan PDF 1200 MB - SamPDF SamPDF tulisan. 50 Soal Dan Jawaban Integral Pdf Pelajaran Soal Rumus Integral Substitusi Trigonometri Wardaya College Berikut kami sajikan sejumlah soal dan pembahasan terkait submateri itu. Soal Latihan dan Pembahasan.
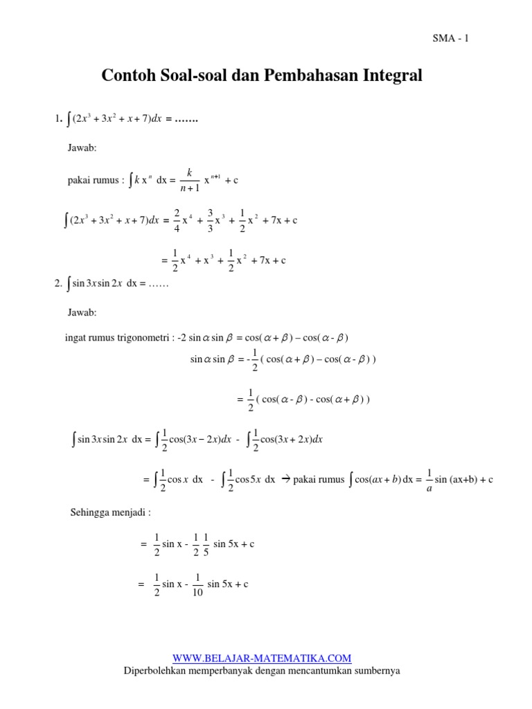
Rumus-rumus integral yang digunakan. Kumpulan Soal Dan Pembahasan Matematika Smapdf en5k29ewreno. Microsoft Word - Contoh-contoh Soal dan Pembahasan Integral untuk SMAdoc Author Purwanto Wahyudi Created Date 142010 45638 PM.
Soal Pembahasan. Demikianlah soal dan pembahasan Integral matematika tak tentu ini semoga membantu dan bermanfaat bagi adik-adik yang telah berkunjung ke situs ini. Karena L 8 32 merupakan luas maksimum maka ukuran persegi panjang agar luasnya maksimum adalah 2OP 2PQ 2 8 2 8 4 2 4 2 ans.
Turunan dan integral ialah merupakan 2 fungsi yang sangat penting dalam kalkulus. Soal Integral Tertentu Dan Pembahasan Author weblearningunikastpaulusacid-2021-04-13T0000000001 Subject Soal Integral Tertentu Dan Pembahasan Keywords soal integral tertentu dan pembahasan Created Date 413. 3 12 x5 7 x4 dx.
Kumpulan soal mudah sedang sukar. Jika f terintegralkan pada suatu selang yang mengandung tiga titik a b dan c maka. Teknik Integral Substitusi Trigonometri secara khusus digunakan jika ada bentuk sqrta2 b2x2 sqrta2.
Contoh soal dan pembahasan integral trigonometri pdf. Soal Integral Tak Tentu berikut ini berformat pdf pastikan pada smartphone atau PC teman-teman sudah ter-install aplikasi pdf reader seperti foxit adobe reader dan sebagainya. Contoh soal integral tentu penggunaan integral dan pembahasan.
Download Soal Latihan Toefl Dan Pembahasan Pdf PDF 1500 MB - SamPDF SamPDF Soal dan Pembahasan TOEFL Structure Exercise 1 No. Jabarkan terlebih dahulu bentuk -x32x-12 menggunakan ab2 a2. Jika di ketahui maka carilah integralnya.
1-15 Hai selamat belajar bahasa Inggris bersama BenPinter. Berikut ini adalah kumpulan berkas file guru tentang contoh soal integral rangkap dua dan penyelesaiann yang bisa anda. 50 soal dan jawaban integral pdf.
Pelajari rangkuman materi integral dilengkapi dengan contoh soal integral beserta pembahasan jawaban lengkap dari soal UN dan SBMPTN untuk kelas 11 Pengertian Integral merupakan kebalikan dari turunan. Untuk mendapatkan Materi Soal Matematika SBMPTN silahkan. 27 Contoh Soal Integral Tak Tentu Dan Penyelesaiannya Pdf Background.
Pelajari rangkuman materi integral dilengkapi dengan contoh soal integral beserta pembahasan jawaban lengkap dari soal UN dan SBMPTN untuk kelas 11. Ax b n dx 1 an1 1 a n 1. Pembahasan soal-soal Ujian Nasional UN SMA bidang studi Matematika IPA untuk materi pembahasan Integral Fungsi Aljabar yang meliputi integral tentu integral tak tentu dan integral substitusi dari fungsi-fungsi aljabar.
Kalau kita lihat urutan kotak hitam yang di tengah dari kiri ke kanan dan dari atas. 50 Soal Dan Jawaban Integral Pdf CreatorEdu for free. 50 soal dan jawaban integral pdf 50 soal dan jawaban integral.
Semoga artikel ini bisa membantu kalian semua dalam belajar dan semoga hasil ujian kalian dalam waktu dekat ini mendapatkan hasil sesuai harapan kalian. Latihan disusun dari yang mudah sampai yang sulit agar siswa mudah memahami setiap isi buku ini. Integral trigonometri rumus integral cos soal pembahasan integral trigonometri adalah hasil kebalikan dari turunan trigonometri.
Soal Latihan dan Pembahasan Integral Edbert Theda Download PDF Download Full PDF Package This paper A short summary of this paper 29 Full PDFs related to this paper READ PAPER Soal Latihan dan Pembahasan Integral. 40 soal unbk soal un ipa fisika smp 2019 2018 2017 dan pembahasannya pdf word download soal try out un ipa. Contoh soal turunan dan penyelesaiannya.
Contoh Soal dan Jawaban Integral trigonometri 1. 20210308 Berikut contoh soal integral tentu tak tentu parsial dan pembahasannya. 48 f 1001 Soal Pembahasan UTS Kalkulus I PEMBAHASAN UJIAN TENGAH SEMESTER GANJIL 20052006 Mata Kuliah Kalkulus I MA 1114 Senin 17 Oktober 2005 UTS 20052006 1.
20190417 Contoh soal dan pembahasan tentang integral widi.

Contoh Soal Integral Matematika Dan Pembahasannya Pdf Fasrrewards

Contoh Soal Integral Dan Pembahasannya Pdf Peatix

Soal Integral Dan Pembahasannya Pdf Lasopauae

Pdf Contoh Soal Matematika Integral

Contoh Soal Dan Jawaban Integral Contoh Soal Dan Materi Pelajaran 7

Contoh Soal Dan Jawaban Integral Contoh Soal Dan Materi Pelajaran 7

Soal Integral Dan Pembahasannya Pdf Lasopaax

Soal Integral Dan Pembahasan Pdf Fasrattorney

Contoh Soal Integral Lipat Dua Dan Penyelesaiannya Kumpulan Soal Pelajaran 5

Contoh Soal Integral Dan Pembahasannya Pdf
Soal Dan Pembahasan Integral Tentu Tak Tentu Terlengkap Soalskul

Soal Dan Pembahasan Ujian Akhir Semester Uas Kalkulus Diferensial Prodi Pendidikan Matematika Fkip Untan Mathcyber1997
Contoh Contoh Soal Dan Pembahasan Integral Untuk Sma Pdf
Soal Dan Pembahasan Integral Tentu Tak Tentu Terlengkap Soalskul

Contoh Soal Dan Jawaban Materi Integral Ilmusosial Id
Contoh Contoh Soal Dan Pembahasan Integral Untuk Sma
Contoh Soal Dan Pembahasan Integral Trigonometri

Happy Thursday Check Out This Week S Advanced Knowledge Problem Of The Week About Complex Analysis Solution Http Bit Complex Analysis Calculus Mathematics

Integral Lipat 3 Contoh Soal Dan Pembahasan Dimensi Sains
Posting Komentar untuk "Kumpulan Soal Dan Pembahasan Integral Pdf"